Contenido: Aspectos de distribución de la renta. Perspectivas de estudio. Influencia de las políticas económicas. Modelos de distribución de renta. Distribución mundial de la renta.
La distribución de la renta es la manera en que se reparten los recursos materiales fruto de la actividad económica en los distintos estratos socio-económicos.
Aspectos de distribución de la renta
Para calcular la desigualdad económica a través de la distribución de la renta (o distribución del ingreso) se usan los siguientes puntos:
- Análisis: Esta distribución puede ser analizada con diferentes enfoques:
- a) Geográfico-espacial: mide las diferencias de renta entre los habitantes de diversas regiones; b) Distribución funcional: mide las diferencias entre los estamentos productivos: industria-agricultura- servicios, trabajo-capital.
- Medida: La herramienta usada para medir la distribución del ingreso es la Curva de Lorenz.
En ella se colocan en el eje de abscisas la cantidad de población ordenada por su renta, y en el de ordenadas la renta. La situación ideal sería una línea recta, que indicaría la igualdad de reparto. Por ende, cuanto mayor sea el semicírculo que separa la curva de la recta, mayor es la desigualdad. Esta área se llama área de concentración, y se mide con el Coeficiente de Gini, que oscila entre 0 y 1: 0 indica la máxima distribución y 1 la máxima concentración.
- Impacto social: En el sistema neoliberal existe una pugna ideológica respecto a si el mercado puede regularse solo y distribuir de manera equilibrada la riqueza de un país o si deben intervenir agentes externos a él, es decir si el Estado debe dictar sus normas.
Perspectivas de estudio
Existen tres perspectivas de estudio:
- Funcional: Asignación de rentas a los factores (trabajo y capital) que intervienen en los procesos de producción.
- Personal: Reparto de la renta entre los individuos y las familias, sin tener en cuenta el origen de los ingresos.
- Espacial: Distribución en el territorio.
Influencia de las políticas económicas
Entre los países del mundo existe una correlación clara entre la desigualdad de la renta, el nivel de impuestos existente y el tipo de política fiscal de los gobiernos. En los países más desiguales tienden a existir pocos impuestos y estos frecuentemente son poco progresivos.
Tradicionalmente las tesis social demócratas y socialistas, sostienen que un sistema capitalista liberal puro el reparto desnivelado tendría base en la prevalencia del lucro sobre los medios de producción privados por lo que surge una situación de antagonismo y conflictividad social. Por otra parte las tesis tradicionales del neoliberalismo el Estado debe dejar de intervenir en todos o algunos asuntos económicos de sus ciudadanos y eliminar políticas de gasto público para que la desregulación y la flexibilidad del mercado permita el progreso libre de los ciudadanos.
En la mayoría de los países existen impuestos progresivos sobre el nivel de ingreso de los agentes económicos individuales que son el medio más común usado por los gobiernos para reducir la desigualdad en la distribución renta.

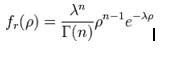
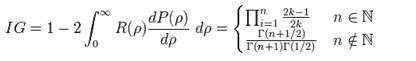
Donde el parámetro está relacionado con la renta media mediante. El Índice de Gini de esta distribución es una función sólo del exponente , esto puede verse calculado la curva de Lorenz asociada a la distribución anterior y calculando el área bajo la misma:

![]()
Distribución mundial de la renta
Desde mediados principios del siglo XIX Europa occidental y Norteamérica han sido históricamente las regiones con mayor ingreso del mundo y las que han concentrado mayores recursos. Durante el siglo XX otras regiones como Japón y en menor grado Corea del Sur y algunas áreas del sudeste asiático han alcanzado niveles también altos de desarrollo económico y altos ingresos per cápita. El resto de regiones han sufrido suertes desiguales, por ejemplo, América Latina en las últimas décadas ha sufrido un descenso relativo de ingreso, y África central y meridional que partía de niveles de ingreso relativo altos en comparación otras regiones del tercer mundo ha visto empeorar su situación respecto al ingreso. La siguiente tabla contiene algunos datos comparativos.


1. «Primer mundo» incluye aquí a Estados Unidos, Canadá; Australia, Nueva Zelanda; Alemania, Austria, Suiza, Francia, Italia, España, Benelux, Escandinavia y Reino Unido.
2. Latinoamérica incluye aquí a Argentina, Brasil, Chile, Colombia, Ecuador, El Salvador, Jamaica, México, Paraguay, Perú, República Dominicana, Uruguay y Venezuela.
3. Oriente Medio y Norte de África incluyen aquí a Argelia, Egipto, Libia, Sudán, Siria y Turquía.
4. África subsahariana occidental y oriental incluye aquí a Benín, Burkina Faso, Burundi, Camerún, Chad, Etiopía, Costa de Marfil, Kenya, Madagascar, Malawi,Malí, Mauritania, Mozambique, Níger, Nigeria, Ruanda, Senegal, Somalia, Tanzania.
5. África subsahariana central y meridional incluye aquí a Sudáfrica, Zaire, Zambia y Zimbawe.
6. Asia meridional incluye aquí a Bangladesh, India, Pakistán y Sri Lanka.
7. Sudeste Asiático incluye aquí a Indonesia, Malasia, Filipinas, Tailandia y Singapur.
Fuente: Wikipedia.org